为促进孤独症(自闭症)谱系障碍儿童特殊教育教师的职业发展,培养优质教育的好教师。2023年10月23日—12月29日,北京心盟孤独症儿童关爱中心、北京星星雨教育研究所与北京惠云公益基金会携手发起孤独症特教教师成长支持计划。爱心家园共有10位老师参加了此次成长计划的学习。

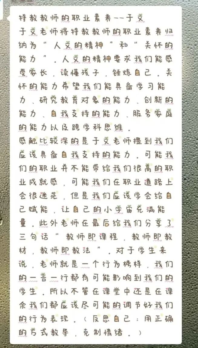
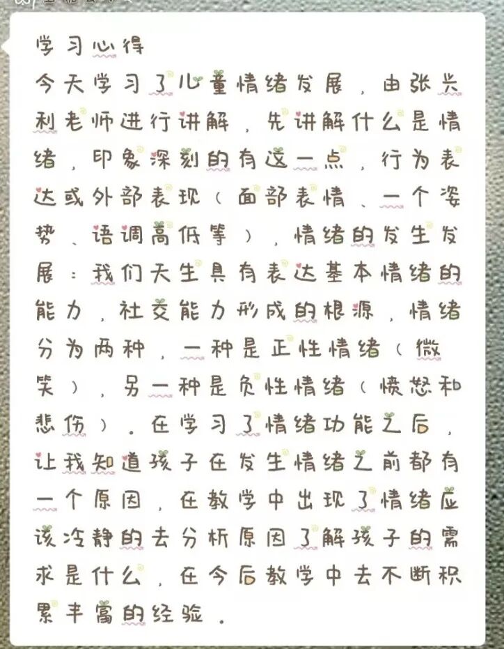
本次培训以线上学习为主,分为理论学习和实操学习两个部分。邀请了林美媛、于文、王秀卿、田惠萍等特教领域经验丰富的资深老师授课。培训内容涵盖了《特教教师是为特殊需求学生提灯照顾者》、《特教教师的职业素养》、《孤独症谱系障碍特征与诊断》、《个别化教育》、《回合操作教学法》、《各种课题教学阶梯》等50个主题的专业培训。

整个培训无论是从基本概念讲解,还是依据不同障碍类型儿童开展的实操课题演示,都带给老师们一次系统的学习体验,帮助受训教师在教学中理清思路,习得技巧和方法。

从理论学习到实操考试的3个月时间里,爱心家园的老师们积极参与到学习中。在完成白天日常教学后,利用下班时间进行学习,在学习中认真做记录,每学完一个内容在群里分享学习的感受。
大家都将学习的知识结合自己的教学中遇到的问题、个案进行运用。并取得了较好的效果。10位老师顺利通过了考试,都获得了结业证书。

通过这次学习,老师们不仅在专业知识方面得到了提高,同时也在特教路上的成长中增添了一次新的经历,相信未来老师们能够继续在特教事业中奉献自己,帮助更多需要帮助的特殊孩子们。
非常感谢北京心盟孤独症儿童关爱中心、北京星星雨教育研究所、北京惠云公益基金会开展本次培训,为老师赋能,促进专业成长!